以為很營養!50萬人研究發現:常常「喝1物」罹癌風險大增 尤其是乳癌
在西方,一些研究顯示乳製品與某些癌症(如大腸直腸癌)風險降低有關,卻和另一些癌症(如前列腺癌)風險增加有關!那麼,喝牛奶和癌症之間,到底存在著怎樣的關聯?

Advertisements
牛津大學聯合中國相關研究團隊、發表在BMC MED 期刊上的一項研究,探索成年人乳製品攝入量、和總癌症及特定部位癌症風險之間的關係,招募了約50萬沒有癌症的中國成年人,記錄了他們的飲食習慣等資訊,然後在接下來的大約11年裡(平均隨訪10.8年),持續追踪他們的健康狀況。

Advertisements
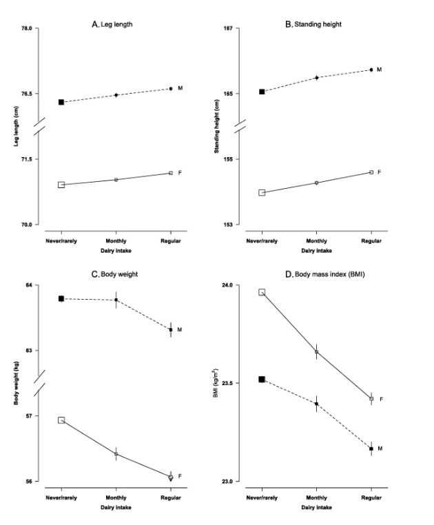
研究發現,中國成年人當中,只有20.4%的人經常(每週至少1天)食用乳製品,而68.5%的人從不或很少食用。經常喝奶的人平均每天攝取80.8克,而全體參與者平均每天攝取37.9克,這個量遠低於西方國家。經常喝奶的人在基線時身高和腿長較長,而體重和BMI較輕微。而且,攝取更多乳製品似乎與更小的身高降低、更少的體重增加和更低的BMI增長有關,儘管差異很小。

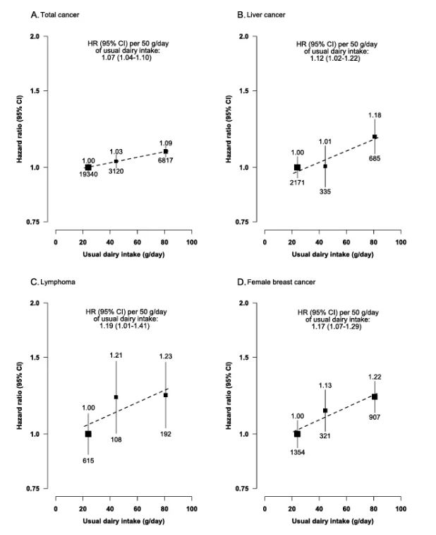
那麼,喝奶和癌症風險到底有沒有關聯?研究結果顯示,與從不/很少喝奶的人相比,經常喝奶的人總癌症風險增加了9%。經過回歸稀釋偏倚校正後,每增加50克/天的習慣性乳製品攝入,總癌症風險增加7%。經常喝奶的人罹患肝癌的風險比不喝奶的人高18%,每增加50克/天的習慣性攝入,風險增加12%。研究特別指出,這種關聯獨立於B型肝炎感染狀態。
Advertisements

此外,經常喝奶的女性罹患乳癌的風險、比不喝奶的女性高22%,每增加50克/天的習慣性攝入,風險增加17%。經常喝奶的人患淋巴瘤的風險高23%,每增加50克/天的習慣性攝入,風險增加19%。對於大腸直腸癌和前列腺癌等其他特定部位的癌症,這項研究沒有觀察到與乳製品攝取的顯著關聯,這與一些西方研究中觀察到的乳製品對結直腸癌的保護作用或對前列腺癌的正向關聯不同。
